▲황사가 유입되면서 황사 위기경보가 내려진 22일 서울 광화문광장에서 시민들이 마스크를 착용한 채 걷고 있다. 황사경보는 미세먼지 평균 농도가 300㎍/㎥ 이상 2시간 넘게 지속될 때 발령된다. (사진=연합뉴스)
지난 22일 한반도의 하늘이 누렇게 변했다. 서울 등 수도권은 물론 전국 대부분 지방에서 짙은 황사가 관찰됐다. 황사는 미세먼지 농도를 급격히 높여 시야를 가리고 호흡기·심혈관 질환을 악화시킨다. 농작물 피해, 토양·수질 오염까지 초래하는 복합 환경·보건 재난이다.
전문가들은 더 나아가 황사가 눈에 보이지 않는 생물학적 위험을 함께 실어 나르고 있다고 경고한다. 바로 황사 먼지 속에 다량의 세균이 포함돼 있다는 것이다.
▲지역별 황사 미세먼지 농도. 22일 오후 3시 현재. (자료=기상청 홈페이지 )
▲시도별 황사 미세먼지 평균 농도. 22일 오후 3시 현재. (에어코리아 사이트)
◇22일 수도권·충청권 '황사 위기경보'
기후에너지환경부는 22일 오후 2시 서울·경기 지역을 시작으로 이날 밤까지 전국 각 시·도에 황사 위기경보 '주의' 단계를 순차적으로 발령했다. 이번 황사는 전날 고비사막과 내몽골고원에서 발원해 강한 북서풍을 타고 빠르게 한반도로 유입됐다.
황사 경보 '주의 단계'는 황사로 인해 미세먼지(PM-10) 농도가 ㎥당 300㎍(마이크로그램, 1㎍=100만분의 1g) 이상인 상태가 2시간 이상 지속될 것으로 예상될 때 발령된다.
이날 서울 서초구에서는 오후 1시경 미세먼지 농도가 1시간 평균 460 ㎍/㎥까지 이르러 '매우 나쁨' 기준(150㎍/㎥)의 3배를 넘어섰다. 경기 이천시 장호원읍에서는 오후 2시 592㎍/㎥까지 치솟았다.
전북 익산시 춘포면 측정소에서는 이날 오후 3시 기준으로 781㎍/㎥을 기록하기도 했다.
◇황사는 '모래'가 아니라 '운반체'다
황사가 진정한 위협으로 평가되는 이유는 모래 입자 자체보다, 그 표면에 붙어 이동하는 중금속 등 유해물질과 미생물 때문이다.
황사 입자는 발원지에서 떠오른 토양 입자에서 시작되지만, 산업지대를 통과하면서 중금속과 각종 유해 화학물질을 흡착한 채 이동하는 것으로 알려져 있다.
실제로 국내외 연구에 따르면 황사 발생 시 대기 중 먼지에는 납(Pb), 카드뮴(Cd), 비소(As), 수은(Hg) 등 인체에 축적될 경우 건강 피해를 일으킬 수 있는 중금속 성분이 평소보다 높은 농도로 포함되는 경향을 보인다.
특히 황사가 중국 북부와 동북부의 공업지대를 거쳐 유입될 경우, 석탄 연소 과정에서 발생한 금속성 입자나 산업 배출 잔류물이 황사 입자 표면에 부착될 가능성이 커진다. 이 과정에서 황사는 단순한 자연 먼지가 아니라 '자연 기원 먼지 + 인위적 오염물질'이 결합된 복합 오염체로 성격이 바뀐다.
문제는 이러한 화학물질이 호흡기를 통해 인체로 유입될 수 있을 뿐 아니라, 강수와 함께 토양·하천·농경지로 침적될 수 있다는 점이다. 일부 중금속은 체내에서 쉽게 배출되지 않아 장기적으로 신경계·신장·심혈관계에 부담을 줄 수 있으며, 농작물에 흡수될 경우 먹이사슬을 따라 축적될 가능성도 배제할 수 없다.
전문가들은 미세먼지(PM10·PM2.5) 관리가 주로 '농도' 중심으로 이뤄지고 있지만, 황사와 같은 장거리 이동 먼지에 대해서는 '성분 관리'가 병행돼야 한다고 지적한다. 같은 농도의 먼지라도, 어떤 금속과 화학물질을 포함하고 있는지에 따라 건강 위험도는 크게 달라질 수 있기 때문이다.
▲황사가 유입되면서 황사 경부가 내려진 22일 서울 광화문 일대가 뿌옇다. (사진=연합뉴스)
◇몽골 현지 토양 미생물의 수송체 역할도
황사가 실어 나르는 것은 오염물질만이 아니다. 황사는 일종의 '미생물 수송체'로 작동한다. 대륙의 토양에 서식하던 세균과 곰팡이를 수천 ㎞ 떨어진 지역까지 실어 나른다.
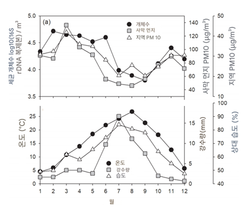
부산대 미생물학과 김태관 교수 연구팀은 2019~2022년 사이 3년 이상 황사 발생 전·중·후의 대기 시료를 체계적으로 수집·분석한 연구 결과를 지난달 '응용 환경 미생물학(Applied and Environmental Microbiology)' 국제 저널에 논문으로 발표했다.
연구팀은 단순한 먼지 농도 비교가 아니라, 공기 중에 부유하는 세균의 절대량과 구성 변화를 정밀 측정함으로써 황사가 대기 미생물 환경에 미치는 영향을 추적했다. 그 결과 황사가 관측된 기간에는 공기 1㎥당 세균 농도가 평상시 대비 평균 5.5배, 조건에 따라서는 최대 6.2배까지 증가하는 것으로 나타났다.
연구팀은 황사 발생 시 채집한 대기 부유먼지 시료에서 세균의 DNA를 직접 추출한 뒤, 세균 분류와 계통 분석에 표준적으로 사용되는 유전자(16S rRNA 유전자) 영역을 중합효소연쇄반응(PCR)로 증폭해 염기서열을 분석했다. 이렇게 확보한 염기서열을 몽골 및 중국 사막 지역 토양에서 채취한 세균 데이터와 비교했다.
▲공기 중 세균 개체 수 및 환경 요인의 계절적 변화. 위 그래프는 공기 중 세균 개체 수 및 에어로졸 농도, 아래는 지역 기상 요인. (자료=Applied and Environmental Microbiology, 2026)
황사 시 공기 중에서 검출된 주요 세균으로는 토양에 서식하는 바실러스(Bacillus)와 블라스토코쿠스(Blastococcus) 등이 포함됐다. 유전자 분석 결과, 이들 세균은 몽골과 중국 사막 지역 토양에서 채취한 세균과 높은 수준의 유전적 일치성을 보였다. 이는 황사가 실제로 발원지 토양의 미생물 군집을 거의 그대로 동아시아 대기권으로 이동시키는 통로 역할을 하고 있음을 의미한다.
이를 통해 연구팀은 황사 입자가 단순한 '운반 수단'을 넘어, 미생물이 장거리 이동 과정에서 생존할 수 있도록 돕는 역할을 한다는 점을 실험적으로 확인했다.
연구팀은 실험을 통해 황사 입자에 부착된 세균이 강한 자외선과 극심한 건조 환경에 직접 노출될 때보다 훨씬 높은 생존율을 보인다는 사실을 밝혀냈다. 즉, 황사 입자가 미생물을 감싸는 일종의 '미세 방패막'으로 작용해, 사막에서 발생한 세균이 수천 ㎞ 떨어진 한반도까지 살아 있는 상태로 도달할 수 있음을 입증한 것이다.
이들 세균 대부분이 즉각적인 감염병을 일으키는 병원체는 아니지만, 일부는 알레르기 반응을 유발하거나 호흡기 점막에 염증을 일으킬 가능성이 있는 것으로 알려져 있다. 특히 면역력이 약한 노약자나 호흡기 질환자에게는 장기적·누적적 노출이 건강 부담으로 작용할 수 있다는 점에서 주의가 필요하다. 연구진은 이러한 결과를 바탕으로 “황사를 단순한 대기 오염 현상이 아니라 미생물 노출이 동반되는 생물학적 환경 사건으로 인식할 필요가 있다"고 강조했다.
▲.
◇“황사는 줄지 않았다"… 계절도, 빈도도 바뀌고 있다
최근 수년간 한반도의 황사 양상은 분명히 달라지고 있다. 민간 기상업체 케이웨더 분석에 따르면, 2021~2023년 봄철 평균 황사 일수는 7.9일로, 평년(1991~2020년 평균 5.4일)을 크게 웃돌았다. 더 이상 황사는 '봄철 손님'에 그치지 않고, 가을과 겨울에도 반복적으로 관측되고 있다.
근본 원인은 발원지의 급격한 환경 변화다. 몽골은 현재 국토의 약 77%가 사막화 영향을 받고 있으며, 지난 80여 년간 평균 기온이 2.49도 상승해 전 지구 평균보다 두 배 빠른 온난화를 겪고 있다. 식생이 사라지고 토양이 메마르면서, 모래폭풍 발생 빈도는 약 55년 동안 세 배 이상 증가했다.
기후변화가 황사에 미치는 영향은 단선적이지 않다. 발원지의 고온·건조화는 황사 발생 가능성을 높이지만, 실제로 한반도에 피해를 주는지는 대기 순환과 기류 구조에 달려 있다.
국립기상과학원 관계자는 “기후변화로 황사 발생 '잠재력'은 커지고 있지만, 우리나라에 얼마나 강하게 영향을 미칠지는 바람의 경로와 속도가 결정한다"고 설명한다.
최근 연구들은 기후변화로 인해 몽골 지역에서 형성되는 온대저기압, 이른바 '몽골 회오리바람'이 과거보다 느리게 이동하면서 강한 북풍을 장시간 유지하는 경향을 보이고 있음을 지적한다. 이 바람이 대규모 황사와 미생물을 한반도와 중국 동부로 실어 나르는 주된 통로가 되고 있다는 분석이다.
◇“황사는 관리 대상 재난"
황사 위기 경보 '주의' 단계가 발령되면 각 가정에서는 모든 창문과 출입문을 닫아 황사 유입을 차단하고, 경계·심각 단계 발령되면 실외활동을 피하고, 불가피하게 외출해야 할 경우에는 보호안경과 마스크를 착용해야 한다. 실내에서는 공기청정기를 최대한 가동할 필요가 있다.
건설 현장 등 야외 작업자는 작업 시간을 조정하고 작업 시 반드시 보호 장비를 착용해야 한다. 황사 심한 날은 야외 작업을 중단하고, 야적물과 장비 등에 먼지가 앉지 않도록 덮어야 한다.
전문가들은 앞으로 황사가 더 불규칙하고, 더 생물학적으로 복합적인 재난이 될 가능성이 높다고 본다. 이에 따라 단기적인 마스크 착용이나 행동 요령을 넘어 발원지 관리와 국제 협력이 핵심 과제로 떠오르고 있다. 사막화 진행을 늦추고 토양을 안정화하는 조림 사업 등에서 국제 협력이 필요하다는 진단이다.





![[현장] 英 버진 애틀랜틱 “대한항공 연계로 환승 시너지…韓 인천 장기 취항 의지 확고”](http://www.ekn.kr/mnt/thum/202604/news-p.v1.20260414.5894494bee424615916f6088f8b4fb76_T1.png)



![[금융권 풍향계] 수은, 여신감리에 AI 활용해 ‘생산적 금융’ 속도 外](http://www.ekn.kr/mnt/thum/202604/news-p.v1.20260414.877ab2d147c148f3a3f194e2a1bd7896_T1.png)
![[EE칼럼] 장기적이고 안정적인 에너지 정책이 필요하다](http://www.ekn.kr/mnt/thum/202604/news-p.v1.20240213.0699297389d4458a951394ef21f70f23_T1.jpg)
![[EE칼럼] 산업용 전기요금은 소비자의 부담](http://www.ekn.kr/mnt/thum/202604/news-p.v1.20260406.75a3eda72eb6449aa7826a69395d10f7_T1.png)
![[김병헌의 체인지] 이재명 대통령, 규제의 덫을 깨고 구조를 겨냥하다](http://www.ekn.kr/mnt/thum/202604/news-a.v1.20260413.00765baffddc4638b1f9e7157f67f3f4_T1.png)
![[이슈&인사이트] 한유원, 판촉기관을 넘어 성장설계 기관이 돼야 한다](http://www.ekn.kr/mnt/thum/202604/news-p.v1.20240325.a19a6b33fb5c449cadf8022f722d7923_T1.jpg)
![[데스크 칼럼] 한은 새수장 신현송, 위기 겹친 경제 속 역할 무겁다](http://www.ekn.kr/mnt/thum/202604/news-p.v1.20260412.9c3ca0ec19f943128442901c33d29e71_T1.jpeg)
![[기자의 눈] HMM 본사 부산 이전은 ‘강제 이주’다](http://www.ekn.kr/mnt/thum/202604/news-p.v1.20260413.b3c03d13d3e54940af09848993c9a241_T1.png)






















